Gebaseerd op cursus SPC 2021

Verbeteringen/fouten/onduidelijkheden/...?

Deze open-source cursus is in ontwikkeling. De aanbevelingen van leerlingen om dit materiaal te verbeteren zijn erg welkom via info@wiskunde.opmaat.org
Dit kan gaan over:

  • Een voorbeeld dat onduidelijk is.
  • Onnauwkeurigheden, schrijffouten, ...
  • Een tussenstap die beter uitgelegd moet worden.
  • Een uitleg die je op youtube, wikipedia of aan de kersttafel gevonden hebt die ophelderend was.
  • ...
Welke afstand wordt er door een bungeejumper na een vrije val van \(2\mathord {,}5\) \(\mathrm {s}\) afgelegd?

Er is gegeven dat

  • De beweging is een EVRB mat \(|a| = g\).
  • \(v_0 = 0\)
  • \(x_0 = 0\)

Met de plaatsfunctie vinden we dan:

\[ x_1 = x_0 + v_0 t + \frac {1}{2} a t^2 = \frac {1}{2} g t^2 = \SI {30,7}{\meter } \]
Uit een punt op \(28\mathord {,}0\) \(\mathrm {m}\) boven de grond wordt een bal verticaal omhoog geworpen met een snelheid van \(12\) \(\mathrm {m}/\mathrm {s}\).
Bepaal de door de bal bereikte hoogte boven de grond;

Er is gegeven dat
  • De beweging is een EVRB mat \(|a| = g\).
  • \(v_0 = \SI {12}{\meter \per \second }\)
  • \(x_0 = \SI {28}{\meter }\)

De tijd \(t_1\) waarop de bal de hoogste positie bereikt, vinden we door de snelheid op dat moment gelijk aan nul te stellen:

\[ v = v_0 - g t_1 = 0 \Rightarrow t_1 = \frac {v_0}{g} \]
De hoogte op dat moment vinden we door deze tijd in de plaatsfunctie in te vullen:
\[ x = x_0 + v_0 t_1 - \frac {1}{2} g t_1^2 = x_0+\frac {v_0^2}{2g} = \SI {35,3}{\meter } \]

\(v=0\Rightarrow x=x_0+\frac {v_0^2}{2g}=\SI {35,34}{m}\)

Bepaal de tijd nodig om de grond te bereiken;

Stel \(x_2 = 0\), dan vinden we de tijd \(t_2\) door de plaatsfunctie op te lossen naar \(t\): \( \begin{array}{rcl} 0 & = & x_0 + v_0 t_2 - \frac {1}{2} g t_2^2 \\ &\Downarrow& \\ t_2 & = & \frac {v_0 \pm \sqrt {v_0^2 + 2 g x_0}}{g} \end{array} \)

Voor een tweedegraadsvergelijking zijn er twee oplossingen. We kiezen de positieve oplossing omdat tijd niet negatief kan zijn. De bal bereikt de grond na \(3\mathord {,}91\) \(\mathrm {s}\).

Bepaal de snelheid bij het bereiken van de grond.

We kunnen de snelheid op het moment dat de bal de grond raakt, vinden door de tijd \(t_2\) in de snelheidsfunctie in te vullen:
\[ v = v_0 - g t_2 = -\sqrt {v_0^2 + 2 g x_0} = \SI {-26,3}{\meter \per \second } \]
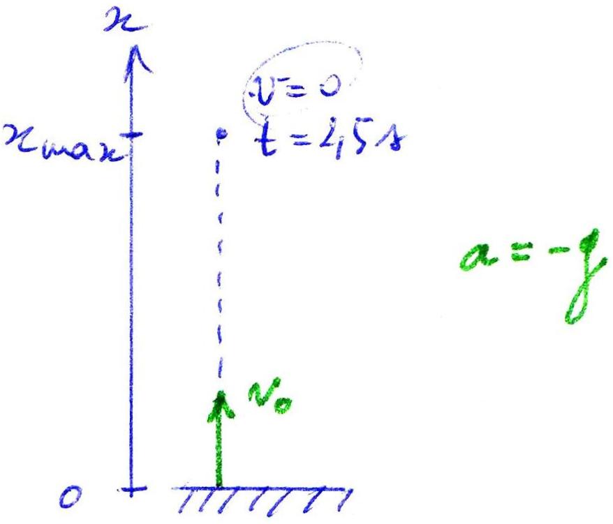
Een pijl wordt verticaal van de grond omhooggeschoten en bereikt na \(2\mathord {,}8\) \(\mathrm {s}\) het hoogste punt. Bepaal deze hoogte.

Op het hoogste punt is de snelheid van de pijl nul. Aangezien we weten hoe lang hij onderweg is en de pijl per seconde \(9\mathord {,}81\) \(\mathrm {m}\,\mathrm {s}^{-2}\) trager omhoog vliegt, kunnen we hieruit de beginsnelheid bepalen.

We kiezen de referentie-as met de oorsprong op de grond. De versnellingscomponent is dan het tegengestelde van de valversnelling, \(a=-g\).

We krijgen:
\begin{equation*} v=0\Leftrightarrow v_0-gt=0\Leftrightarrow v_0=gt \end{equation*}
Dat is in grootte gelijk aan \(27\) \(\mathrm {m}/\mathrm {s}\). Nu dat we ook de beginsnelheid kennen, vinden we de afgelegde afstand, wat ook de maximale hoogte is:
\begin{equation*} x=v_0t-\frac {1}{2}gt^2=(gt)t-\frac {1}{2}gt^2=\frac {1}{2}gt^2 \end{equation*}
Vullen we de getalwaardes in, dan vinden we \(38\) \(\mathrm {m}\)

Merk op dat deze afstand gelijk is aan de afstand die de pijl vanuit rust zou afleggen bij een vrije val die \(2\mathord {,}8\) \(\mathrm {s}\) duurt. Dat is niet heel verwonderlijk; de vertraging naar boven toe is namelijk gelijk aan de versnelling bij het vallen naar beneden. Wiskundig loopt de symmetrieas van een parabool door de top.

Een parachutist in vrije val bereikt een uiteindelijke valsnelheid van \(50\) \(\mathrm {m}/\mathrm {s}\). Neem aan dat een geopende parachute voor een constante vertraging van \(30\) \(\mathrm {m}/\mathrm {s}^{2}\) zorgt. Wil er bij het neerkomen geen kans op letsel bestaan, dan mag de landingssnelheid niet groter dan \(5\mathord {,}0\) \(\mathrm {m}/\mathrm {s}\) zijn.

Wat is de minimumhoogte voor het openen van de parachute?

Aangezien we de versnelling en begin- en eindsnelheid kennen, kunnen we de tijd die nodig is om de eindsnelheid te bereiken, berekenen:
\begin{eqnarray*} v=v_0+at&\Leftrightarrow &t=\frac {v-v_0}{a} \end{eqnarray*}

De afgelegde afstand is dan met de gemiddelde snelheid te berekenen:

\begin{eqnarray*} x&=&\overline {v}t\\ &=&\frac {v_0+v}{2}\cdot \frac {v-v_0}{a}\\ &=&\frac {v^2-v_0^2}{2a}\\ &=&\SI {41,25}{m} \end{eqnarray*}
Iemand laat een meloen vallen vanop een hoogte van \(20\) \(\mathrm {m}\). Op hetzelfde moment schiet je een pijl verticaal omhoog vanop de grond. De pijl treft de meloen na \(1\mathord {,}0\) \(\mathrm {s}\).
Geef in één assenstelsel een verzorgde schets van de grafiek van de plaats in functie van de tijd voor beide objecten.

Met welke snelheid heb je de pijl afgeschoten?

De plaatsfunctie van de meloen gelijkstellen aan die van de afgeschoten pijl, geeft (we kiezen de \(y\)-as omhoog waardoor de versnelling de negatieve valversnelling is):
\[ y_0-\frac {1}{2}gt^2 = v_0t-\frac {1}{2}gt^2 \]
Oplossen naar \(v_0\) geeft: \(v_0=\frac {y_0}{t}=\SI {20}{\meter \per \second }\)
(\(\ast \ast \ast \)) Wanneer de pelikaan naar vis duikt, trekt hij zijn vleugels in om als een steen verticaal naar beneden te vallen.

Stel een pelikaan duikt vanaf \(25\) \(\mathrm {m}\) hoogte en verandert onderweg dus niet meer van koers. Als het een vis \(0\mathord {,}15\) \(\mathrm {s}\) kost om te vluchten, wat is dan de hoogte waarop de vis de pelikaan minstens moet opmerken, wil de vis nog kans maken te ontsnappen?

Neem aan dat de vis zich aan het wateroppervlak bevindt.

We kiezen de referentie-as naar beneden, met de oorsprong op de positie waar de pelikaan begint aan zijn duik De versnelling is dan gelijk aan de valversnelling.

We kennen de afstand waarover de pelikaan valt zodat we de tijd die de pelikaan nodig heeft om het wateroppervlak te bereiken, de valtijd, kunnen berekenen uit \(x_2=\frac {1}{2}gt_2^2 \):

\begin{eqnarray*} t_2=\sqrt {\frac {2x_2}{g}} \end{eqnarray*}

De pelikaan heeft namelijk geen beginsnelheid.

Gedurende een tijd \(t_1=t_2-\Delta t\) (15 honderdste van een seconde minder dan de valtijd) mag de pelikaan vallen zonder door de vis te worden opgemerkt. De afstand boven het wateroppervlak is dan:

\begin{eqnarray*} x_2-x_1&=&x_2-\frac {1}{2}gt_1^2\\ &=&x_2-\frac {1}{2}g\left (t_2-\Delta t\right )^2\\ &=&\SI {3,2}{m} \end{eqnarray*}
(\(\ast \ast \ast \)) Een verticaal vallende steen legt in de laatste seconde, voor hij de grond bereikt, \(100\) \(\mathrm {m}\) af. Men veronderstelt dat hij vanuit rust vertrok.
Bepaal de snelheid op het ogenblik dat hij de grond bereikt.

We kiezen de \(x\)-as naar beneden zodat de versnelling de valversnelling is, \(a=g\). Als we \(x_1\) beschouwen als de beginpositie van de beweging die de steen uitvoert in de laatste honderd meter, kunnen we de snelheid vinden waarmee de steen hieraan ‘begint’.

\begin{eqnarray*} &&\Delta x=v_1\Delta t+\frac {1}{2}g\Delta t^2\\ &\Leftrightarrow &v_1=\frac {\Delta x-\frac {1}{2}g\Delta t^2}{\Delta t} \end{eqnarray*}
Met de formule voor de snelheid van een EVRB, vinden we de snelheid op het einde van het interval.
\begin{eqnarray*} v_2&=&v_1+g\Delta t\\ &=&\frac {\Delta x-\frac {1}{2}g\Delta t^2}{\Delta t}+g\Delta t\\ &=&\cdots \\ &=&\overline {v}+g\frac {\Delta t}{2}\\ &=&\SI {105}{m/s} \end{eqnarray*}

Je kan dit ook afleiden door gebruik te maken van de formule voor gemiddelde snelheid, \(\overline {v}=\frac {v_1+v_2}{2}\).

Bepaal de hoogte vanwaar de steen viel en de tijd die hij daarvoor nodig had.

Omdat we de snelheid kennen, kunnen we de tijd vinden die de steen nodig heeft gehad om aan deze snelheid te komen. Vervolgens vinden we dan ook de afstand.
\begin{eqnarray*} t_2=\frac {v_2}{g}=\frac {\overline {v}}{g}+\frac {\Delta t}{2}=\SI {10,7}{s}\\ x_2=\frac {1}{2}gt_2^2=\SI {561}{m} \end{eqnarray*}
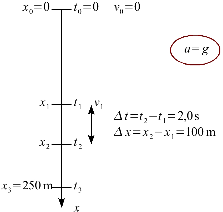
(\(\ast \ast \ast \)) Van de Empire State Building in New York komt op \(250\) \(\mathrm {m}\) een ijskegel los en valt naar beneden.
Na hoeveel tijd en met welke snelheid bereikt het ijskegeltje uiteindelijk de grond?

Gegeven
\(x_3=\SI {250}{m}\)
\(\Delta t=t_2-t_1=\SI {2,0}{s}\)
\(\Delta x=x_2-x_1=\SI {100}{m}\)
Gevraagd
\(t_3,v_3,t_1\) en \(x_1\)

Omdat de beweging enkel naar beneden is, is de beschrijving gemakkelijk met een \(x\)-as naar beneden gericht. De versnellingscomponent \(a\) is dan gelijk aan de valversnelling \(g\). Omdat de kegel vanuit rust vertrekt, vinden we de valtijd uit \(x=\frac {1}{2}gt^2\):

\begin{equation*} t=\sqrt {\frac {2x}{g}} \end{equation*}
De valtijd bepaalt de eindsnelheid:
\begin{equation*} v=gt=g\sqrt {\frac {2x}{g}}=\sqrt {2gx} \end{equation*}
Hoelang en over welke afstand moet de ijskegel al gevallen zijn om in de daaropvolgende \(2\) \(\mathrm {s}\) een afstand te kunnen afleggen van \(100\) \(\mathrm {m}\)?

Invullen van de gegevens geeft \(t_3=\SI {7,1}{s}\) en \(v_3=\SI {70}{m/s}=\SI {252}{km/h}\).

Uit de plaatsfunctie kunnen we de beginsnelheid halen. De beginsnelheid \(v_1\) is immers de enige onbekende in de vergelijking:

\begin{equation*} \Delta x=v_1\Delta t+\frac {1}{2}g\Delta t^2\\ \end{equation*}
Dus: \(v_1=\frac {2\Delta x-g\Delta t^2}{2\Delta t}\).

Omdat de kegel vanuit rust begint te vallen en per seconde \(9\mathord {,}81\) \(\mathrm {m}/\mathrm {s}\) sneller valt, vinden we de valtijd als \(t_1=\frac {v_1}{g}\):

\begin{eqnarray*} t_1=\frac {2\Delta x-g\Delta t^2}{2g\Delta t}&=&\frac {2\cdot 100\rm \,m-9,81\rm \,m/s^2\cdot (2,0\rm \,s)^2}{2\cdot 9,81\rm \,m/s^2\cdot 2,0\rm \,s}=\SI {4,1}{s} \end{eqnarray*}

De bijbehorende afgelegde weg is dan \(x_1=\frac {1}{2}gt_1^2=\SI {82}{m}\).

(\(\ast \ast \ast \)) Een zieke man zit voor een raam dat \(2\mathord {,}0\) \(\mathrm {m}\) hoog is. Een steen wordt vanop de grond opgeworpen en passeert het raam een keer opwaarts en een keer neerwaarts. De man ziet de steen in totaal voor exact één seconde.
Bepaal de snelheid waarmee de steen de onderkant van het raam bereikt in zijn opwaartse beweging en in zijn neerwaartse beweging.

\(\Delta x= v_1\Delta t-\frac {1}{2}g\Delta t^2\) zodat \(v_1=\bar {v}+g\frac {\Delta t}{2}=\SI {6,5}{m/s}\) (\(\Delta t = \SI {0,5}{s}\)). De snelheid in de neerwaartse beweging is op het teken na hetzelfde.
Toon aan dat het met deze gegevens niet mogelijk is te berekenen hoe hoog het raam boven de grond is gelegen.

Naast de hoogte van het raam boven de grond, zijn ook de benodigde tijd en de beginsnelheid onbekende grootheden. Met maar twee vergelijkingen die een EVRB beschrijven (\(x=x_0+v_0t+\frac {1}{2}at^2\) en \(v=v_0+at\)), zijn deze onbekenden niet vast te leggen. In een meer fysische uitleg kan je je realiseren dat eenzelfde snelheid aan de onderkant van het raam voor een grotere hoogte boven de grond te realiseren is met een grotere snelheid waarmee de steen opgeworpen wordt.
(\(\ast \ast \ast \)) Een student gooit een sleutelbos verticaal omhoog naar een medebewoonster in een raam \(4\mathord {,}00\) \(\mathrm {m}\) hoger. De sleutels worden \(1\mathord {,}50\) \(\mathrm {s}\) later opgevangen.
Wat was de snelheid waarmee de sleutels omhoog werden gegooid?

Er is gegeven dat
  • De beweging is een EVRB mat \(|a| = -g\).
  • \(\Delta x = \SI {4}{\meter }\)
  • \(\Delta t = \SI {1,5}{\second }\)

Er geldt:

\[ \overline {v} = \frac {\Delta x}{\Delta t} = \frac {v_0 + v}{2} = \frac {v_0 + v_0 - gt}{2} = v_0 - \frac {1}{2}gt \]

Hieruit volgt

\[ v_0 = \frac {\Delta x}{\Delta t} + \frac {1}{2}gt = \SI {10,0}{\meter \per \second } \]
Welke snelheid had de sleutelbos vlak voordat hij werd opgevangen?

\(v=v_0-gt=\frac {x}{t}-\frac {1}{2}gt=\SI {-4,69}{m/s}\)

Merk op dat de sleutelbos wordt opgevangen bij het terug naar beneden komen. De snelheidscomponent is immers negatief.

(\(\ast \ast \ast \)) Een voorwerp wordt verticaal omhoog geworpen en bereikt na een tijd \(t\) een hoogte \(h\). Toon aan dat de maximale hoogte \(h_{\text {max}}\) die het voorwerp bereikt, wordt gegeven door:
\begin{eqnarray*} h_{\text {max}}&=&\frac {(gt^2+2h)^2}{8gt^2}. \end{eqnarray*}

We zoeken eerst een uitdrukking voor de maximale hoogte. Op het hoogste punt is de snelheid nul zodat:
\begin{eqnarray*} v&=&0\\ &\Updownarrow &\\ v_0-gt&=&0\\ &\Updownarrow &\\ t&=&\frac {v_0}{g} \end{eqnarray*}

Deze tijd is dus de tijd die het voorwerp nodig heeft om het hoogste punt te bereiken. Als we de oorsprong van de \(y\)-as op de grond kiezen en naar boven gericht, dan vinden we de maximale hoogte door dit tijdstip in de plaatsfunctie in te vullen:

\begin{eqnarray*} y_{max}&=&y(t_{max})\\ &=&v_0\cdot \left (\frac {v_0}{g}\right )-\frac {1}{2}g\left (\frac {v_0}{g}\right )^2\\ &=&\frac {v_0^2}{2g} \end{eqnarray*}

Doordat we weten hoe hoog het voorwerp zich bevindt na een tijd \(t_1\), kunnen we de beginsnelheid \(v_0\) bepalen:

\begin{eqnarray*} y_1&=&v_0t_1-\frac {1}{2}gt_1^2\\ &\Updownarrow &\\ v_0&=&\frac {2y_1+gt_1^2}{2t_1} \end{eqnarray*}

Substitutie hiervan in de uitdrukking voor de maximale hoogte geeft de te bewijzen uitdrukking.